Prof.Dr.Godfried-Willem Raes
Kursus Experimentele Muziek: Boekdeel 2: live electronics - klankonderzoek
Hogeschool Gent: Departement Muziek en Drama
2001:
Over dit onderwerp zijn boekenkasten vol geschreven. Immers, versterkers zowel voor het audiobereik, als voor HF-signalen, treft men aan in zowat alle elektronische toestellen. Het is in onze tijd niet meer lonend zich nog bezig te houden met de opbouw van een audioversterker uit 'diskrete' onderdelen (transistoren, weerstanden, kondensatoren). De alsmaar toenemende integratie op chips in de elektronika evenals de alsmaar toenemende kwaliteit van de op de markt verkrijgbare geintegreerde schakelingen, maakt dat we ons in het frekwentiegebied van 0Hz (DC dus) tot zo'n 250MHz en hoger zelfs, niet meer met diskrete schakelingen hoeven bezig te houden wanneer we kwalitatieve eisen stellen. De in IC-vorm voorhanden versterkers kunnen we als komplete bouwstenen aanwenden.
Aangezien we ons in deze kursus toch in eerste instantie tot het audiogebied beperken, volstaat ons een goede kennis van slechts een enkele fundamentele komponent op versterkergebied: de operationele versterker.
Van dit type versterker zijn vandaag zo'n 10000 verschillende types als IC verkrijgbaar. Uiteraard zijn ze niet allemaal voor dezelfde doelen optimaal geschikt. Zo onderscheiden we volgende toepassingsgebieden:
Voor audio kunnen we stellen dat volgende eigenschappen in eigenlijke zowat elke denkbare toepassing van groot belang zijn:
Over deze operationele versterkers en de ermee verbonden ontwerptechniek bestaat een overvloed aan eenvoudige en goed toegankelijke literatuur. (cfr. literatuurlijst) zodat we er hier niet erg diep zullen op ingaan. We volstaan met het kort samenvatten van de fundamentele eigenschappen, schakelschemas en formules.
Operationele versterkers
1. Fundamentele schakelingen
Niet inverterende versterker:
Av= 1 + Rf/Ri Ingangsimpedantie: 'oneindig'
Wanneer
in deze konfiguratie Rf=0 genomen wordt en Ri geheel wordt weggelaten ('oneindig')
dan spreken we van een buffer. De versterking is dan heel precies 1x.
Inverterende versterker
Av= Rf/Ri Ingangsimpedantie= Ri
Ook in deze konfiguratie is een buffer mogelijk: neem Rf=Ri, maar in dit geval zal de ingangsimpedantie beperkt worden door Ri zelf. Daarom (o.m.) wordt zo'n buffer, behalve als zuivere invertor (de faze van in en uitgangssignaal zijn 180 graden verschoven), zelden gebruikt.
Bij veralgemening kunnen de komponenten Rf en Ri ook komplexe netwerken zijn samengesteld uit weerstanden, spoelen en kondensatoren. Ook in dit geval, blijven bovenstaande formules geldig, ook al zullen zij afhankelijk worden van de frekwentie van het aangeboden signaal evenals van de fazeverschuivingen veroorzaakt door kapacitieve en reaktieve komponenten. Om die reden dienen we onze berekeningen in zulke gevallen uit te voeren met komplexe getallen.
In de veralgemeende vorm dienen we dan ook te schrijven:
|
Niet inverterende versterker: |
Avf= 1 + (Zff / Zif) |
|
Inverterende versterker: |
Avf= Zff / Zif |
waarbij Zff en Zif als komplexe getallen of poolkoordinaten behandeld dienen te worden.
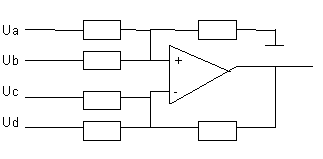
Verschilversterker:
Uo= (Ua - Ub) Av

Somversterker:
Uo= -(Ua + Ub) Av

Som en verschilversterker:
Uo= (Ua + Ub - Uc -Ud).Av

2. Niet lineaire analoge komputerschakelingen
Gelijkrichter zonder offset:

Dubbelzijdige gelijkrichter:

Piekspanningsdetektor:

Berekening van de grootste waarde van n veranderlijke inputs
Logaritmische versterker schakeling:

1.- 10x of 20dB versterker
Uiterst eenvoudig is volgende schakeling waarmee een signaal met een faktor 10 kan worden opgekrikt:

De toegepaste opamp is een OP07 of OP77 en er werd geopteerd voor de konfiguratie als niet inverterende versterker. Wil je de schakeling voor heel kleine ingangssignalen gebruiken dan vervang je de OP07 best door een OP27 die een veel geringere ruisbijdrage levert, maar daartegenover niet zo goed bestand is tegen oversturing van zijn ingangen.... Goedkopere opamps die in zulke schakeling ook voldoen zijn bvb. TLO71.
Hoewel niet getekend in het schema, moeten toch zowel de positieve als de negatieve voedingsspanning degelijk ontkoppeld worden middels twee 0.1uF kondensatoren.
Berekening van de versterkingsfaktor:
Rf = 100kOhm
Ri= 11.100 Ohm
Av = 1 + ( Rf/Ri)= 1 + (100000/11100)= 1+ 9 = 10
naar 2003: Gebalanceerde
lijnen
naar 2004: Vermogensversterker 150Watt met LM12 chip
Filedate:921205 / 9709 / 0112/ 2017-04-15
Terug naar inhoudstafel: Index kursus
Naar Bouw een Kraakdoos
Naar homepage dr.Godfried-Willem RAES